BRAINS Network Seminar | Paris and Middlebury, VT | October 3rd, 2024
I’m Phil Chodrow. I’m an applied mathematician by training. These days my interests include:
I’m a new(ish) assistant professor of computer science at Middlebury College in Middlebury, Vermont.

Middlebury is a small primarily-undergraduate institution (PUI) in Vermont, USA.
A hypergraph is a generalization of a graph in which edges may contain an arbitrary number of nodes.

XGI let’s gooooo
What can we observe or learn in hypergraph structure that we couldn’t observe or learn in a dyadic graph?
One answer for today: 2-edge motifs.

XGI let’s gooooo

Milo et al. (2002). Network Motifs: Simple Building Blocks of Complex Networks. Science

Milo et al. (2002). Network Motifs: Simple Building Blocks of Complex Networks. Science
Claim: What’s special about the structure of hypergraphs is that they have diverse, undirected, two-edge motifs: intersections.
For the remainder of this talk, we’ll consider hypergraphs in which each edge has a discrete time-index: \(e_0, \; e_1, \ldots, e_t,\ldots\).
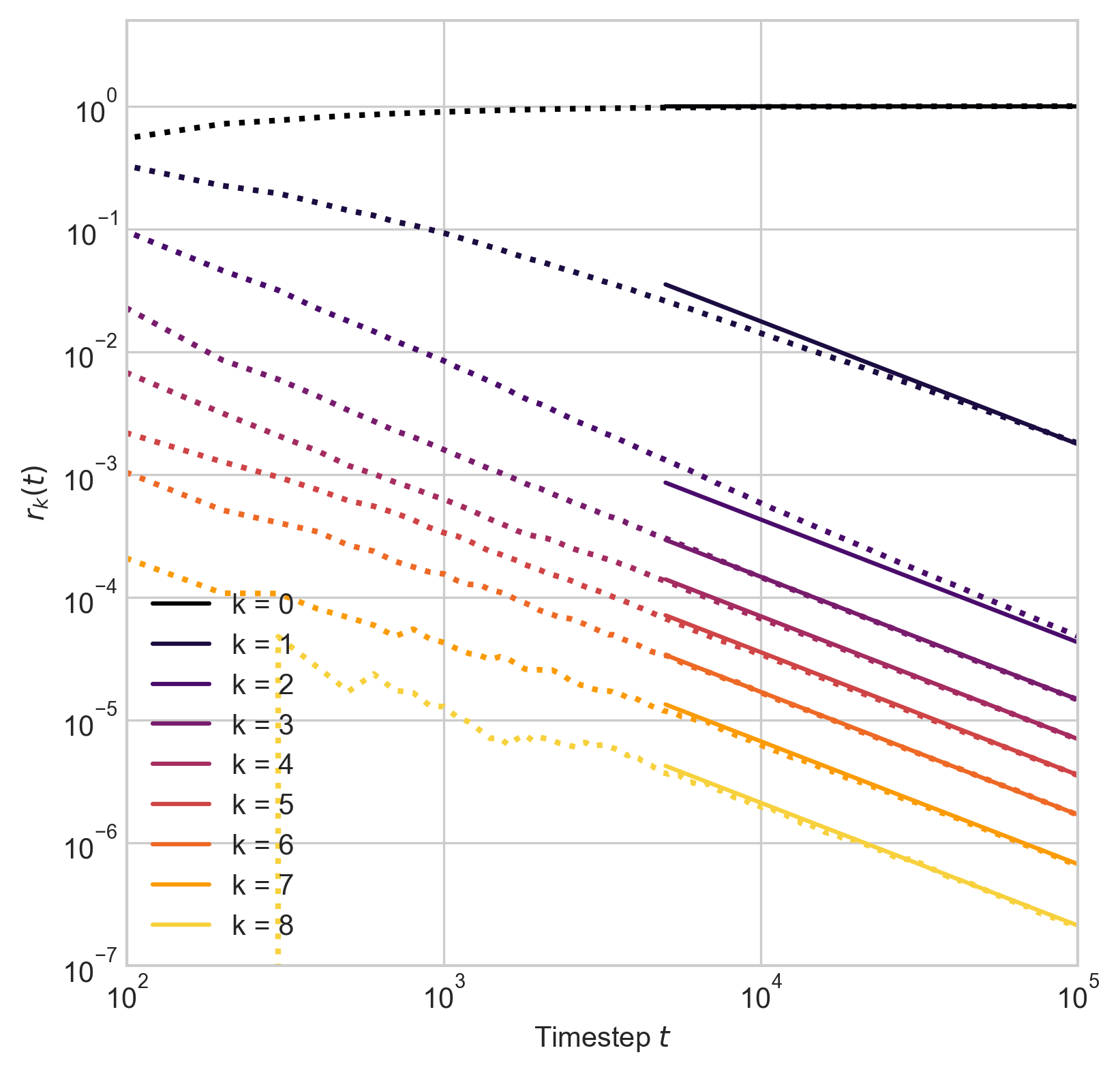
One way to measure the prevalence of intersections is to define an temporal intersection profile: the probability of an intersection of size \(k\) when picking two uniformly random edges.
\[r_k^{(t)} \triangleq \eta_t(\lvert e\cap f \rvert = k)\;,\]
where \(\eta_t\) is the empirical law of the hypergraph \(H^{(t)}\) containing only edges with indices up to \(t\) and \(e\), \(f\) are sampled uniformly from \(H^{(t)}\).
Sometimes there is a natural indexing of edges via temporal timestamps; other times we need to assign indices arbitrarily.
In empirical temporal hypergraphs, the intersection profile \(r_k^{(t)}\) often decays at rates close to \(t^{-1}\) or \(t^{-2}\), regardless of \(k\).
If we were generating edges at random, we would need \(k\) independent events to form an intersection of size \(k\), yielding to decay \(t^{-k}\). 🧐
Benson, Abebe, Schaub, and Kleinberg (2018). Simplicial closure and higher-order link prediction. PNAS
Chodrow (2020). Configuration models of random hypergraphs. JCN
Landry, Young, and Eikmeier (2023). The simpliciality of higher-order networks. EPJ Data Sci.

Dashed lines give slope of \(t^{-1}\) and \(t^{-2}\) decay.

Xie He
Mathematics
Dartmouth College

Peter Mucha
Mathematics
Dartmouth College
Mechanistic, interpretable, learnable models of growing hypergraphs.
Benson, Kumar, and Tomkins (2018). Sequences of Sets. KDD
Benson, Abebe, Schaub, and Kleinberg (2018). Simplicial closure and higher-order link prediction. PNAS

Figure from Benson, Kumar, and Tomkins (2018).
Parameters: \(\alpha \in [0,1]\), \(\boldsymbol{\beta} \in \mathcal{P}^{k}\), \(\boldsymbol{\gamma} \in \mathcal{P}^{k}\)
Parameters: \(\alpha \in [0,1]\), \(\boldsymbol{\beta} \in \mathcal{P}^{k}\), \(\boldsymbol{\gamma} \in \mathcal{P}^{k}\)
Let \(\mu_{\boldsymbol{\beta}}\) be the expected number of novel nodes added.
Let \(\mu_{\boldsymbol{\gamma}}\) be the expected number of nodes added from \(H\setminus e\).
Calculation: mean edge size
Let the mean edge size be \(\langle k \rangle\).
The expected size of a new edge is then \(1 + \alpha \langle k \rangle + \mu_{\boldsymbol{\beta}} + \mu_{\boldsymbol{\gamma}}\).
At stationarity, the expected size of a new edge must equal to the mean edge size:
\[ \begin{aligned} \langle k \rangle &= 1 + \alpha \langle k \rangle + \mu_{\boldsymbol{\beta}} + \mu_{\boldsymbol{\gamma}} \\ \langle k \rangle &= \frac{1 - \alpha + \mu_{\boldsymbol{\beta}} + \mu_{\boldsymbol{\gamma}}}{1-\alpha}\;. \end{aligned} \]
Accept each node from \(e\) into \(f\) with probability \(\alpha\) (condition on at least one).
So, at least one node in each new edge is selected with probability proportional to its degree!
🧐
Proposition (He, Chodrow, Mucha ’24): As \(t\) grows large, the degrees of \(H_t\) converge in distribution to a power law with exponent
\[
p = 1 + \frac{1-\alpha +\mu_{\boldsymbol{\beta}} +\mu_{\boldsymbol{\gamma}} }{1-\alpha(1 + \mu_{\boldsymbol{\beta}} +\mu_{\boldsymbol{\gamma}} )}\;.
\]
Notation:

Some connections to preferential attachment hypergraphs:
Avin, Lotker, Nahum, and Peleg (2019). Random preferential attachment hypergraph. ASONAM
Roh and Goh (2023) Growing hypergraphs with preferential linking. J. Korean Phys. Soc.
Important: these slopes are not directly fit to the degree distributions at all!
What does it mean to fit the model to data? We’ll talk about that soon.
It is also possible to extract the edge-size distribution under our model by solving an eigenproblem \(\mathbf{s} = \mathbf{A}\mathbf{s}\), where \(\mathbf{A}\) is determined by model parameters.
What does it mean to fit the model to data? We’ll talk about that soon.
Proposition (He, Chodrow, Mucha ’24): There exist constants \(q_k\) such that, as \(t\rightarrow \infty\),
\[ \begin{aligned} r_{k}(t) \simeq \begin{cases} q_k & \quad \text{if } k \leq k_0\\ t^{-1} q_k &\quad \mathrm{otherwise}\;. \end{cases} \end{aligned} \]
Here, \(q_k = \sum_{ij} q_{ijk}\) and \(\{q_{ijk}\}\) solve the system
\[ q_{ijk} = \begin{cases} \frac{1}{2}\sum_{\ell} \left(q_{\ell j 0} \alpha_{i0|\ell j0} + q_{j \ell 0} \alpha_{i0|j\ell 0}\right) & \quad k = 0\\ \frac{1}{2}\beta_{ik|j} \sum_{\ell} (q_{\ell j0} + q_{j\ell 0}) + \frac{1}{2}\sum_{\ell, h\geq k} \left(q_{\ell j h} \alpha_{ik|\ell jh} + q_{j \ell h} \alpha_{ik|j\ell h}\right) &\quad k \geq 1\;, \end{cases} \]
where \(\alpha_{ik|\ell jh}\) and \(\beta_{ik|j}\) are constants determined by the model parameters.
These come out of linearized compartmental equations.
Proposition: There exist constants \(q_k\) such that, as \(t\rightarrow \infty\),
\[ \begin{aligned} r_{k}(t) \simeq \begin{cases} q_k & \quad \text{if } k \leq k_0\\ t^{-1} q_k &\quad \mathrm{otherwise}\;. \end{cases} \end{aligned} \]

Aim: given the sequence of edges \(\{e_t\}\), estimate:
Expectation maximization:

Social interaction networks tend to have high rates of edge-copying \(\eta\), with smaller rates of novel nodes (\(\mu_{\boldsymbol{\beta}}\)) and extant nodes \((\mu_{\boldsymbol{\gamma}}\)).
Coauthorship networks have moderate edge-copying with higher rates of novel nodes (\(\mu_{\boldsymbol{\beta}}\)) and extant nodes \((\mu_{\boldsymbol{\gamma}}\)).
Biological and information data sets are more scattered.
We computed AUC scores for a link prediction task in which our model learns parameters on 20% training data from three metabolic and organic reaction data sets with edges up to size 5. We compared these against previously-reported AUC scores on the same task for two dedicated neural network hypergraph link prediction algorithms.
Yadati et al. (2020) NHP: Neural Hypergraph Link Prediction. CIKM
Yang et al. (2023) LHP: Logical hypergraph link prediction. Expert Systems with Applications
| \(n\) | \(m\) | Our model | NHP AUC | LHP AUC | |
|---|---|---|---|---|---|
| iAF1260b | 1,668 | 2,084 | 0.643 | 0.582 | 0.639 |
| iJO1366 | 1,805 | 2,253 | 0.769 | 0.599 | 0.638 |
| USPTO | 16,293 | 11,433 | 0.550 | 0.662 | 0.733 |
We are competitive with hypergraph neural networks using an 11-parameter model!
Hypergraphs are locally distinct from graphs in that they have interesting two-edge motifs (intersections).
Learnable, mechanistic models of hypergraph formation allow us to both model this phenomenon and achieve competitive performance on link prediction problems.
arXiv coming soon 😬😬😬

Xie He
Dartmouth College
Peter Mucha
Dartmouth College